DRAKON.SU

Текущее время: Понедельник, 02 Февраль, 2026 01:44

Часовой пояс: UTC + 3 часа




Начать новую тему Ответить на тему  [ Сообщений: 88 ]  На страницу Пред.  1, 2, 3, 4, 5  След.
Автор Сообщение
СообщениеДобавлено: Воскресенье, 21 Декабрь, 2014 14:54 

Зарегистрирован: Воскресенье, 24 Февраль, 2008 15:32
Сообщения: 6037
Откуда: Москва
Геннадий Тышов писал(а):
Что бы облегчить обсуждение алгоритма, рекомендуется выполнить нумерацию икон.
Неверно. О чем я уже много раз говорил.

Геннадий Тышов писал(а):
Без номеров сложно или невозможно адресовать в разговоре к определенной иконе.
Неверно. О чем я уже много раз говорил. В моих книгах сотни дракон-схем. Но я ни разу не использовал нумерацию. Потому что есть много других, простых и изящных способов. Сплошная нумерация — самый неудачный и нелепый способ из всех возможных.

Геннадий Тышов писал(а):
Сложно при большом тексте иконы.
Здесь, В.Д. Паронджанов использует для адресации фразу: 4. Во второй ветке надо удалить икону "Взыскиваем долги по членским взносам через суд"..
Ничего сложного нет.

Геннадий Тышов писал(а):
Невозможно, при наличии в алгоритме икон с одинаковым текстом.
Почему невозможно? Вполне возможно.

Геннадий Тышов писал(а):
Наличием нумерации в ИС Дракон, снимается проблема языка Дракон - отсутствие для пользователя адресации к иконам.
Наличие нумерации в ИС Дракон есть бессмысленное замусоривание дракон-схем, о чем я уже много раз говорил.

Нумерация бывает нужна лишь в одном случае из тысячи. Нелепо возводить это в абсолют.


Вернуться к началу
 Профиль  
 
СообщениеДобавлено: Воскресенье, 21 Декабрь, 2014 15:09 

Зарегистрирован: Воскресенье, 06 Апрель, 2008 14:43
Сообщения: 1657
Я уже приводил пример, что пользователи обсуждают алгоритм по телефону.

Нужна нумерация.

Владимир Даниелович, Вы повторяетесь, но ничего не предлагаете.

Без нумерации пользователь не сможет записать выбранный маршрут в алгоритме. Разве, это не серьезный довод?
Здесь, 21 Декабрь, 2014 11:52, Шилин Александр просит фиксировать маршрут в алгоритме.


Вернуться к началу
 Профиль  
 
СообщениеДобавлено: Понедельник, 22 Декабрь, 2014 00:14 

Зарегистрирован: Понедельник, 09 Ноябрь, 2009 17:29
Сообщения: 904
Откуда: Россия, Питер
Геннадий Тышов писал(а):
Я уже приводил пример, что пользователи обсуждают алгоритм по телефону.

Нужна нумерация.

Поддержу Геннадия Тышова.
Полагаю, использование номеров икон может быть полезно.

Например, на рисунке ниже, в телефонном разговоре, как адресоваться к четвёртой иконе на левом маршруте с большим текстом, начинающемся с "List"?
Вложение:
folder-parrot.png
folder-parrot.png [ 68.25 КБ | Просмотров: 21709 ]
Может проще сказать икона №4?


Вернуться к началу
 Профиль  
 
СообщениеДобавлено: Понедельник, 22 Декабрь, 2014 07:39 

Зарегистрирован: Воскресенье, 06 Апрель, 2008 14:43
Сообщения: 1657
Культурнее назвать икону по номеру, чем тыкать пальцем в алгоритм указывая на икону.

Даже можно сказать, когнитивнее.


Вернуться к началу
 Профиль  
 
СообщениеДобавлено: Понедельник, 22 Декабрь, 2014 08:39 

Зарегистрирован: Воскресенье, 06 Апрель, 2008 14:43
Сообщения: 1657
http://forum.oberoncore.ru/viewtopic.php?p=90187#p90187
Изображение

В алгоритме не видно и нет сопровождающей информации:
• Мог ли Прежний Директор отказаться от своего поручительства, ведь кредит уже выдан и еще не погашен?
• Существует ли в законодательстве юридическая норма, предусматривающая отказ от поручительства?
• Какая существует процедура отказа от поручительства?
• Кто обязал Нового Директора оформить на себя поручительство по кредиту, на который уже оформлено поручительство другого лица. Если банк, то как оцениваются действия банка?

Александр, в алгоритме "Логика Прежнего Директора" и "Логика Банка" изображены последовательно. В реальности, обе логики существуют независимо друг от друга и одновременно. Это параллельные действия, возможно так и надо отобразить в алгоритме.


Вернуться к началу
 Профиль  
 
СообщениеДобавлено: Понедельник, 22 Декабрь, 2014 14:20 
Модератор
Аватара пользователя

Зарегистрирован: Понедельник, 14 Ноябрь, 2005 18:39
Сообщения: 631
Откуда: Россия, Орёл
Почему бы не иметь нумерацию, как включаемую-отключаемую опцию?
Во всех программистских редакторах кода нумерация строк при необходимости включается и отключается (в том числе с горячих клавиш).


Вернуться к началу
 Профиль  
 
СообщениеДобавлено: Понедельник, 22 Декабрь, 2014 14:32 

Зарегистрирован: Воскресенье, 06 Апрель, 2008 14:43
Сообщения: 1657
Илья Ермаков,
так и сделано, номера отображаются или не отображаются при установке или снятии галочки в меню пункт "Вид/- Номера".


Последний раз редактировалось ==== Понедельник, 22 Декабрь, 2014 15:17, всего редактировалось 1 раз.

Вернуться к началу
 Профиль  
 
СообщениеДобавлено: Понедельник, 22 Декабрь, 2014 14:32 

Зарегистрирован: Четверг, 23 Май, 2013 05:13
Сообщения: 401
Ситуация 3
ПОСТАНОВЛЕНИЕ АРБИТРАЖНОГО СУДА СЕВЕРО-ЗАПАДНОГО ОКРУГА ОТ 10.11.2014 ПО ДЕЛУ N А56-68932/2013
Схема ситуаций: Организация выступила поручителем по кредиту. Заемщик кредит банку не вернул. Банк взыскал с организации как с поручителя 20 500 000 рублей. Организация расстроилась: на фига было заключать этот договор поручительства? Чтобы 20 с половиной миллионов просто так отдать? Надо найти виновного в этих потерях и взыскать с него все деньги! Таким виновным оказался директор организации. Он заключил договор поручительства – ему и отвечать за последствия. Организация обратилась в суд с требованием: взыскать с директора 20 500 000 рублей.
В суде вообще выяснилось, что о договоре поручительства в организации стало известно только после списания 20 500 000 рублей со счёта. А сам договор поручительства организация увидела только в суде. К тому же оказалось, что директор по совместительству был сотрудником банка, выдавшего тот самый кредит. И всё это плюсом к убыткам от списания 20 500 000 рублей по поручительству.
Директор энергично возражал против навешивания ему на шею долга в 20 500 000 рублей. Во-первых, активы организации не сократились. Заплатив 20 500 000 рублей по договору поручительства, организация приобрела право требования этой же суммы с того, за кого ручалась. Во-вторых, организация до этого случая неоднократно выдавала свои поручительства третьим лицам по кредитным договорам. То есть поручительство на 20 500 000 рублей – это была обычная практика работы организации. В-третьих, у организации было достаточно много общих дел с заемщиком, за которого она ручалась. То есть ручалась организация не за первого встречного с улицы.
Поэтому суд решил, что директор никакого ущерба организации не причинил. Всё было сделано в рамках обычной хозяйственной деятельности. Поэтому директор ничего организации не должен.
Выводы и Возможные проблемы: Миллионный договор поручительства оказался обычной хозяйственной деятельностью. Поэтому директора и не наказали.

Цепочка событий для подготовки Дракон-схемы.
Директор организации работает по совместительству Заместителем директора Банка.
Директор, от имени организации, подписывает договор поручительства по кредиту, выданному Банком.
Получатель кредита не возвращает кредит Банку.
Банк списывает с расчётного счёта организации, как поручителя по кредиту, более 20 миллионов рублей.
Организация считает убытком, списанные Банком, по договору поручительства, более 20 миллионов рублей.
Организации обращается в суд с требованием взыскать с Директора, списанные Банком, по договору поручительства, более 20 миллионов рублей.
Суд отказывает Организации в удовлетворении требования, взыскать с Директора, списанные Банком, по договору поручительства, более 20 миллионов рублей.

Дракон-схема прилагается. Даже две.
В одной выделил пути сторон цветом (использовал: контекстное меню иконы -Цвет фона иконы - Выделить, установить).
В другой выделил линией - кое-как в графическом редакторе.


Вложения:
Директор заключил договор поручительства 2(1).png
Директор заключил договор поручительства 2(1).png [ 137.91 КБ | Просмотров: 21668 ]
Директор заключил договор поручительства(1).png
Директор заключил договор поручительства(1).png [ 115.59 КБ | Просмотров: 21668 ]
Вернуться к началу
 Профиль  
 
СообщениеДобавлено: Понедельник, 22 Декабрь, 2014 14:49 

Зарегистрирован: Четверг, 23 Май, 2013 05:13
Сообщения: 401
Геннадий Тышов писал(а):
В алгоритме не видно и нет сопровождающей информации:
• Мог ли Прежний Директор отказаться от своего поручительства, ведь кредит уже выдан и еще не погашен?
• Существует ли в законодательстве юридическая норма, предусматривающая отказ от поручительства?
• Какая существует процедура отказа от поручительства?
• Кто обязал Нового Директора оформить на себя поручительство по кредиту, на который уже оформлено поручительство другого лица. Если банк, то как оцениваются действия банка?

Вопросы интересные, полезные и правильные.
Но я решаю более узкую задачу. Я пытаюсь отобразить то, что у же произошло. И показать: почему оно так произошло? какими суждениями руководствовались стороны? чьё суждение суд выбрал в качестве верного?
Мне надо показать ситуацию и как она разрешилась в данном конкретном случае. Кому надо - пусть раскручивает вопрос дальше. Моя задача выполнена: я указал на имеющиеся риски подобной ситуации, сделал минимальные выводы. Давать рекомендации - это уже работа профессиональных юристов - у них там другой риск и другие деньги.
А мне надо искать новые рискованные ситуации.

Геннадий Тышов писал(а):
Александр, в алгоритме "Логика Прежнего Директора" и "Логика Банка" изображены последовательно. В реальности, обе логики существуют независимо друг от друга и одновременно. Это параллельные действия, возможно так и надо отобразить в алгоритме.

Трудный это вопрос.
С одной стороны обе логики независимы и параллельны.
С другой стороны - они же друг с другом спорят.И спор этот последовательно в суде излагается. В упрощённом варианте: Сначала одна стороны изложила свои доводы, потом вторая сторона, потом суд принял решение. Вот это я и показываю. Иногда суд и не признаёт правильными доводы сторон, а излагает свою - третью точку зрения.


Вернуться к началу
 Профиль  
 
СообщениеДобавлено: Понедельник, 22 Декабрь, 2014 15:03 

Зарегистрирован: Четверг, 23 Май, 2013 05:13
Сообщения: 401
Владимир Паронджанов писал(а):
Критические замечания по дракон-схеме
viewtopic.php?p=90182#p90182

1. Стало гораздо лучше, но остаются некоторые мелочи, которые надо подработать.

2. Крайняя правая (четвертая) ветка не нужна. Удалить. Прицепите Конец в конце третьей ветки.

3. В третьей ветке в иконе "выбор" написано:
Цитата:
СРО может выбрать любой вариант развития событий
. Это плохой текст. Заменить на:
Цитата:
Действия СРО

Или:
Цитата:
Что делает СРО?


4. Третья ветка нарушает сразу два фундаментальных правила.
— Главный маршрут (когда все хорошо или когда ущерб минимален) должен идти по шампуру (то есть вертикально вниз).
— Побочные маршруты располагаются правее главного по принципу: "Чем правее, тем хуже".
Надо исправить.

=================

Это еще не все. Но для начала, давайте поправим это.

=========================================


Вариант исправления прилагаю.


Вложения:
Член СРО прекращает платить взносы в СРО(3).png
Член СРО прекращает платить взносы в СРО(3).png [ 60.38 КБ | Просмотров: 21666 ]
Вернуться к началу
 Профиль  
 
СообщениеДобавлено: Понедельник, 22 Декабрь, 2014 15:08 

Зарегистрирован: Четверг, 23 Май, 2013 05:13
Сообщения: 401
Владимир Паронджанов писал(а):
Замечание по следующей дракон-схеме.
viewtopic.php?p=90187#p90187

Во второй ветке ошибка. После развилки НЕЛЬЗЯ объединять маршруты. Надо выводить их вниз в две разные иконы "адрес".


Итоговый адрес у обеих лиан одинаковый. Когда я ставлю у второго варианта тот же адрес, что и у первого ИС Дракон сам перебрасывает ветку.
По-моему это нормально, Не загромождает схему лишними линиями и ясность есть.


Вернуться к началу
 Профиль  
 
СообщениеДобавлено: Понедельник, 22 Декабрь, 2014 15:51 

Зарегистрирован: Воскресенье, 24 Февраль, 2008 15:32
Сообщения: 6037
Откуда: Москва
Шилин Александр писал(а):
Итоговый адрес у обеих лиан одинаковый.


1. По-моему это неправильно. Здесь два принципиально разных исхода. В одном случае исход приемлемый для директора, во втором — трагический.

2. Это надо обязательно показать. Сейчас схема этот печальный факт прячет от мировой общественности. А надо не прятать, а показывать.

3. Вся эта схема (в этом варианте) построена неверно.


Вернуться к началу
 Профиль  
 
СообщениеДобавлено: Понедельник, 22 Декабрь, 2014 16:57 

Зарегистрирован: Четверг, 23 Май, 2013 05:13
Сообщения: 401
Владимир Паронджанов писал(а):
Шилин Александр писал(а):
Итоговый адрес у обеих лиан одинаковый.


1. По-моему это неправильно. Здесь два принципиально разных исхода. В одном случае исход приемлемый для директора, во втором — трагический.

2. Это надо обязательно показать. Сейчас схема этот печальный факт прячет от мировой общественности. А надо не прятать, а показывать.

3. Вся эта схема (в этом варианте) построена неверно.


Вынужден согласиться Вами.


Вернуться к началу
 Профиль  
 
СообщениеДобавлено: Понедельник, 22 Декабрь, 2014 17:39 

Зарегистрирован: Четверг, 23 Май, 2013 05:13
Сообщения: 401
Владимир Паронджанов писал(а):
Шилин Александр писал(а):
Итоговый адрес у обеих лиан одинаковый.


1. По-моему это неправильно. Здесь два принципиально разных исхода. В одном случае исход приемлемый для директора, во втором — трагический.

2. Это надо обязательно показать. Сейчас схема этот печальный факт прячет от мировой общественности. А надо не прятать, а показывать.

3. Вся эта схема (в этом варианте) построена неверно.


Пока только так получается сделать.


Вложения:
Директор организации является поручителем по кредиту, взятому этой организацией(2).png
Директор организации является поручителем по кредиту, взятому этой организацией(2).png [ 53.35 КБ | Просмотров: 21647 ]
Вернуться к началу
 Профиль  
 
СообщениеДобавлено: Понедельник, 22 Декабрь, 2014 18:44 

Зарегистрирован: Воскресенье, 24 Февраль, 2008 15:32
Сообщения: 6037
Откуда: Москва
Замечания

1. Во второй ветке в левом варианте в иконе полка убрать слова "прежний директор". Он совсем не прежний.

2. Убрать горизонтальную линию, т.е. превратить икону полка в икону действие.

3. Выход оторвать и направить на новую икону адрес. В ней написать Завершение

Пояснение. К этой ситуации логика банка и решение суда не имеет никакого отношения.

4. Убрать комментарий "суд принял это решение".

5. Решение суда надо показать не в виде комментария, а в виде развилки с двумя исходами. Следовательно, надо вставить новую развилку с решением суда и два исхода да и нет. Я уже писал об этом раньше.


Вернуться к началу
 Профиль  
 
СообщениеДобавлено: Вторник, 23 Декабрь, 2014 08:07 

Зарегистрирован: Воскресенье, 06 Апрель, 2008 14:43
Сообщения: 1657
http://forum.oberoncore.ru/viewtopic.php?p=90190#p90190
Владимир Паронджанов писал(а):
Геннадий Тышов писал(а):
Невозможно, при наличии в алгоритме икон с одинаковым текстом.
Почему невозможно? Вполне возможно.
Владимир Даниелович, надо в сообщениях использовать нумерацию икон.

http://forum.oberoncore.ru/viewtopic.php?p=90212#p90212
Владимир Паронджанов писал(а):
4. Убрать комментарий "суд принял это решение".
Комментариев "Суд принял это решение" в алгоритме два. Вы не смогли корректно указать, какую икону предлагаете убрать. Автору алгоритма придется уточнять у Вас.
При этом, в вашем сообщении имеется искажение текста, у автора текст начинается с большой буквы.

Автор предусмотрел в алгоритме наличие номеров икон. Вы игнорировали предоставленную и предлагаемую возможность использовать номера.


Вернуться к началу
 Профиль  
 
СообщениеДобавлено: Понедельник, 09 Февраль, 2015 22:43 

Зарегистрирован: Четверг, 23 Май, 2013 05:13
Сообщения: 401
Новая схема для ситуации. Пробую новый для меня подход.

Алгоритм обработки случаев из судебной практики – 1

Долго не мог понять: как подобраться к описаниям случаев из судебной практики. И вдруг вспомнил, что где-то когда-то краем глаза видел такое словосочетание как «Разработка через тестирование» - Test-Driven Development (TDD).
Как я понял, идея метода была такой: придумываем тест, потом под тест пишем программу.
Например, вот так.
Возьмём старую добрую игру крестики-нолики: три на три. И не будем писать программу так как стал бы это делать нормальный программист. То есть анализировать варианты и расписывать сразу условия. Нет.
Мы возьмём ровно один вариант исхода игры в крестики-нолики. И под этот вариант набросаем программу на языке Дракон.
Случай из игры в крестики-нолики будет такой:
Вложение:
ПартияКрестикиНолики.png
ПартияКрестикиНолики.png [ 55.69 КБ | Просмотров: 21412 ]


Для ориентации пронумеруем клетки игрового поля:
Вложение:
0.png
0.png [ 4.92 КБ | Просмотров: 21412 ]


Тогда весь ход игры запишется так: Х-1, О-2, Х-5, О-9, Х-7, О-4, Х-3 Победа!
Если рисовать это в виде Дракон-схемы, то получится простая линейка (лиана, шампур) действий.
Вложение:
КН_1.png
КН_1.png [ 14.41 КБ | Просмотров: 21412 ]


Вот эту заурядную цепочку действий двух игроков мы и будем считать тестовым примером для нашей программы. И точно под эту ситуацию мы и напишем программу.
У нас два игрока Х и О. У каждого из них своё действие. И поведение этих игроков должно точно попадать в наш тест. Ни больше, ни меньше.
Рисуем программу действий игрока Х:
Вложение:
КН_2.png
КН_2.png [ 15.17 КБ | Просмотров: 21412 ]


Эта программа написана только под одну нашу ситуацию. В других она будет давать сбой. Но у нас и была цель: написать программу ровно под одну ситуацию, которая у нас есть.
Так же рисуем программу стратегии Игрока О.
Вложение:
КН_3.png
КН_3.png [ 14.78 КБ | Просмотров: 21412 ]


Теперь, когда у нас реализована стратегия каждого игрока (хотя только для одного тестового случая) – мы можем нарисовать общую программу для нашего теста. Общая программа объединит в себе стратегию игрока Х и игрока О:
Вложение:
КН_4.png
КН_4.png [ 36.6 КБ | Просмотров: 21412 ]



Теперь мы можем сделать для себя такое предположение. Вариант составления программы «от теста к алгоритму» вполне может подойти для наработки алгоритмов в любой не очень знакомой нам области. В области, где у нас немного знаний и поэтому мы не можем сразу делать обобщения, вводить классификации и наводить порядок другими (не знаю какими) способами.
Но новую область надо анализировать. Надо разбираться: кто и что с кем и чем связан, какие действия и субъекты крутятся в новой для нас области и как оно там вообще всё живёт и работает. И язык Дракон (вместе с методом Разработка через тестирование - TDD) – очень нам в этом помогает.
Взяв совершенно частный случай, мы можем создать достаточно прочный фундамент для продолжения накопления фактов и их анализа. Можно сказать даже так: мы высаживаем десант на неизвестную территорию, закрепляемся на маленьком кусочке этой территории и создаём плацдарм для дальнейших экспедиционных действий.
Теперь, когда мы попробовали себя в такой понятной игре как крестики-нолики, обратимся к судебной практике.
Возьмём очередной случай из судебной практики.
ПОСТАНОВЛЕНИЕ АРБИТРАЖНОГО СУДА СЕВЕРО-ЗАПАДНОГО ОКРУГА ОТ 23.12.2014 ПО ДЕЛУ N А21-4832/2012
Гражданка была индивидуальным предпринимателем. Был у гражданки муж. И заключили гражданка с мужем брачный договор. По брачному договору в собственность к мужу отходили земельные участки в садоводческих обществах, строения на этих участках, автомобили и доходы от всех обществ, зарегистрированных на мужа. В собственности у гражданки оставались доходы от деятельности одного ООО. Так же брачный договор устанавливал, что в дальнейшем: «Все недвижимое и движимое имущество, которое приобретено или будет приобретаться супругами, будет являться личной собственностью того из супругов, на кого оно уже (будет) зарегистрировано». Совершенно понятно, что брачный договор был заключён просто так – на всякий случай.
Буквально через полгода после заключения брачного договора, «всякий случай» и наступил. Суд начал в отношении гражданки процедуру банкротства и ввёл наблюдение. Начались собрания кредиторов и всё что в таких случаях положено.
А года через два гражданка с мужем расторгли брачный договор, заключённый между ними. Тут бы и делу конец, но не тут-то было. От всех этих манипуляций расстроился один из, сравнительно небольших, кредиторов гражданки. Доля этого кредитора в общей сумме кредиторов была всего 1.46%, но шума получилось на все 100%.
Кредитор решил, что ему причинён вред брачным договором. Кредитор, почему-то, считал, что до заключения брачного договора гражданка продала своё имущество супругу, а потом с помощью брачного договора отделила это имущество от всего совместно нажитого с мужем. В пользу мужа, естественно. После этой операции, муж нашей Индивидуальной Предпринимательницы, то ли собирался, то ли уже, реализовал всё это имущество родителям Индивидуальной Предпринимательницы. И апофеозом комбинации стало расторжение брачного договора. Расторжение брачного договора, как считал кредитор, было оформлено для того, чтобы его нельзя было признать ничтожным – договор ведь уже расторгнут. Вот такой хитрый круговорот имущества и прав, по мнению возмущённого кредитора, был затеян супругами, чтобы вывести имущество из конкурсной массы.
И главное: кредитор считал, что расторжение брачного договора не исключает возможности признания его ничтожным.
У мужа гражданки взгляд на события отличался от мнения кредитора. Муж считал, что брачный договор не нарушил прав кредиторов. Было собрание кредиторов и большинством голосов было принято решение, что оснований для оспаривания брачного договора нет! То есть большинство кредиторов не против брачного договора, а один кредитор с 1.46% голосов на собрании – против. Вывод: кредиторы не против брачного договора! Далее: «совместно нажитым имуществом супругов … (жены) и … (мужа) являются только автотранспортные средства, все остальное имущество, поименованное в пункте 3 брачного договора …, было приобретено (мужем – наше примечание) … до заключения брака или получено им безвозмездно».
И главное, муж считал, если брачный договор уже расторгнут, то его нельзя признать ничтожным.
Суду пришлось постараться, объясняя своё решение по этому делу. И цепочка объяснений была такой. Брачный договор был заключён незадолго до начала процедуры банкротства, что разрешает (по времени его заключения) предъявить к такому договору судебные претензии. Брачный договор заключался между мужем и женой (индивидуальная предпринимательница), что позволяет считать одну из сторон договора (мужа) – заинтересованной стороной. «В результате заключения брачного договора установленный законом режим совместной собственности супругов в отношении имущества, приобретенного во время брака, был изменен в пользу (мужа), что повлекло за собой уменьшение конкурсной массы индивидуального предпринимателя (жены) и причинение вреда имущественным правам кредиторов должника (жены)».
Что касается невозможности признать уже расторгнутый брачный договор недействительным. В решении этого вопроса суд «исходил из того, что при расторжении договора обязательства сторон прекращаются на будущее, то есть до момента расторжения договор признается действовавшим, следовательно, все не исполненные к моменту прекращения действия договора обязанности и не удовлетворенные права требования могут быть реализованы и исполнены и после расторжения договора». Одним словом – если были претензии к правильности заключения брачного договора, то эти претензии никуда не исчезают и остаются в силе даже после расторжения этого договора. Можно потребовать признать недействительным и уже расторгнутый договор.
Что касается вопроса: может кредитор с долей 1.46% голосов в собрании кредиторов требовать недействительности договора, если все остальные кредиторы этого требовать не хотят? Тут суд решил, что «Общество, являясь конкурсным кредитором индивидуального предпринимателя …, вправе оспаривать сделки должника независимо от количества голосов, которыми оно обладает в собрании кредиторов должника; принятие данным собранием решения об отсутствии оснований для оспаривания брачного договора также не является препятствием для обращения Общества в арбитражный суд с заявлением о признании названного договора недействительным».
В итоге: суд признал брачный договор недействительным.
Вот такой не самый простой случай из судебной практики мы попробуем разобрать с помощью языка Дракон и метода «Разработка через тестирование (TDD)».
Представим себе, что это тоже тест. Для какой-то игры. С пока не очень, для нас, ясными правилами.
И в это игре есть два игрока или две стороны. На одной стороне играют: гражданка и муж. На другой стороне играет: суровый кредитор. Углубляясь в описание можно сделать предположение, что в этой «игре» есть арбитр, который определяет: правильно ли играют игроки и кто в итоге победил. Этот арбитр, в данном случае, арбитражный суд.
Игроки по очереди делают свои ходы. Арбитр в конце определяет: кто выиграл.
Будем действовать по аналогии с крестиками-ноликами.
Сначала «вытянем» ходы игроков в одну последовательную цепочку.
А потом по этой цепочке попробуем нарисовать программу для каждого из игроков. Программа будет реализовывать точно ту ситуацию, которую мы «вытянем» в цепочку действий игроков.
Наверное, по нашему тесту придётся ещё нарисовать программу, по которой арбитр определяет победителя.
Расставим (или вытянем) ходы игроков в цепочку.
Ход 1. Муж и Жена. Заключают брачный договор. Большая часть общего имущества переходит к мужу.
Ход 2. Муж и Жена (а может правила такие – можно несколько ходов подряд делать). Жена (она же Индивидуальный Предприниматель) перешла в состояние банкротства.
Ход 3. Муж и Жена. Через два года расторгают брачный договор.
Ход 4. Кредитор с объёмом голосов 1.46% на собрании кредиторов. Брачный договор заключён для уменьшения конкурсной массы грядущего банкротства ИП. Брачный договор расторгнут, чтобы нельзя было признать его недействительным. Брачный договор надо признать недействительным.
Ход 5. Муж и Жена. Большинство кредиторов на собрании кредиторов решили не требовать признания брачного договора недействительным. Поэтому брачный договор не надо признавать недействительным.
Ход 6. Муж и Жена. Брачный договор уже расторгнут, поэтому его нельзя признать недействительным.
Ход 7. Суд. Брачный договор заключён незадолго перед банкротством. Поэтому оспаривать брачный договор можно.
Ход 8. Суд. Брачный договор заключён между мужем и женой (ИП). Муж – заинтересованное лицо. Большая часть общего имущества передана мужу. Кредиторам жены (ИП) причинён вред.
Ход 9. Суд. Любой кредитор имеет право предъявлять претензии. Не имеет значения в этом вопросе мнение других кредиторов.
Ход 10. Суд. Можно признать недействительным и расторгнутый брачный договор.
Ход 11. Суд. Брачный договор признан недействительным.
Нарисуем простую линейную схему.
Вложение:
БД_1.png
БД_1.png [ 37.98 КБ | Просмотров: 21412 ]


А теперь нарисуем программу работы (игры) сторон в этой цепочке.
Алгоритм Игры на стороне «Муж и Жена» может выглядеть так:
Вложение:
БД_2.png
БД_2.png [ 28.9 КБ | Просмотров: 21412 ]



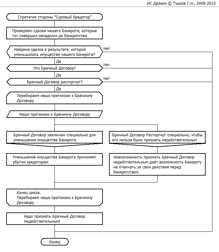
Алгоритм работы на стороне «Суровый кредитор» может выглядеть так:
Вложение:
БД_3.png
БД_3.png [ 29.17 КБ | Просмотров: 21412 ]


Осталось нарисовать алгоритм работы Арбитра в этой игре:
Вложение:
БД_4.png
БД_4.png [ 43.71 КБ | Просмотров: 21412 ]


ПРОДОЛЖЕНИЕ В СЛЕДУЮЩЕМ СООБЩЕНИИ


Вернуться к началу
 Профиль  
 
СообщениеДобавлено: Понедельник, 09 Февраль, 2015 22:49 

Зарегистрирован: Четверг, 23 Май, 2013 05:13
Сообщения: 401
ПРОДОЛЖЕНИЕ ИЗ ПРЕДЫДУЩЕГО СООБЩЕНИЯ

Поведение всех трёх участников игры: двух игроков и одного арбитра мы нарисовали. Попробуем объединить эти рисунки:
Вложение:
БД_5.png
БД_5.png [ 103.85 КБ | Просмотров: 21410 ]


Вот такая схема. В первом приближении.

Эта информация, но одним файлом MHT и в более форматированном виде: https://cloud.mail.ru/public/e520ee426f ... 0-%201.mht


Вернуться к началу
 Профиль  
 
СообщениеДобавлено: Вторник, 24 Февраль, 2015 12:27 

Зарегистрирован: Четверг, 23 Май, 2013 05:13
Сообщения: 401
Арендатор задолжал арендодателю почти 3 миллиона 200 тысяч рублей за аренду. И маленькая особенность этого долга была в том, что арендодатель был соучредителем арендатора с долей 20% в уставном капитале. Сразу у арендатора расплатиться за аренду не получалось. Поэтому между арендатором и арендодателем было заключено соглашение о постепенном погашении задолженности. Но постепенность погашения долга – штука не бесплатная. И по соглашению арендатор постепенно гасил уже не 3 миллиона 200 тысяч рублей, а 6 миллионов 800 тысяч рублей. Такое вот «послабление» от учредителя вышло арендатору. Соглашение было подписано, жизнь и работа продолжились. Но, вдруг, это соглашение заметил другой учредитель арендатора.
Такое «погашение» долга второму учредителю сильно не понравилось. Он стал разбираться с деталями соглашения и нашёл в них кое-что интересное. Оказывается, что директор арендатора, подписавший соглашение погашения долга, на момент подписания уже два месяца не был директором. Уволили его. На этом основании учредитель и подал иск в суд: соглашение о погашении долга подписано неуполномоченным лицом! И сумма долга завышена в два раза!
Но суды, один за другим, дружно отказали второму учредителю в его иске. Почему?
Для отказа второму учредителю, в его просьбе об отмене соглашения о погашении долга, у судов было несколько причин. Первая причина: на момент подписания соглашения директор был уволен, но в ЕГРЮЛ он по-прежнему числился директором арендатора. Вторая причина: после подписания соглашения о погашении долга арендатор действительно погашал свою задолженность перед арендодателем: проводил взаимозачёты в счёт погашения и т.д. То есть, своими действиями одобрял заключённое соглашение. И что получается? Соглашение подписано уполномоченным на это лицом – это раз! Соглашение одобрено последующими действиями арендатора (оплата, взаимозачёт) – это два!
В итоге: соглашение о погашении долга осталось в силе.
Выводы и Возможные проблемы: Надо было сразу после снятия с должности исключать из ЕГРЮЛ запись о прежнем директоре. А тут старая запись висела в ЕГРЮЛ ещё три с половиной месяца после снятия. А в условиях корпоративного конфликта будет считаться, что прежний директор по-прежнему в своей должности со всеми положенными ему правами.
Но даже то, что не исключили директора из ЕГРЮЛ – это ещё три четверти беды. В крайнем случае можно было бы «повесить» на бывшего директора ущерб по соглашению погашения долга. Но арендатор успел произвести действия одобряющие заключённое соглашение: взаимозачёт, оплата по данному соглашению. Ну, а раз одобрили соглашение, то чего возражать-то потом?!
ПОСТАНОВЛЕНИЕ АРБИТРАЖНОГО СУДА ПОВОЛЖСКОГО ОКРУГА ОТ 04.02.2015 N Ф06-19826/2013, Ф06-5091/2013 ПО ДЕЛУ N А55-31418/2012 (http://base.consultant.ru/cons/cgi/onli ... V;n=133758)

Ниже схема этой ситуации:
Вложение:
150223_1.png
150223_1.png [ 57.14 КБ | Просмотров: 21292 ]


Вернуться к началу
 Профиль  
 
СообщениеДобавлено: Вторник, 24 Февраль, 2015 14:22 

Зарегистрирован: Воскресенье, 24 Февраль, 2008 15:32
Сообщения: 6037
Откуда: Москва
Мелкое замечание.

Убрать две иконы "Завершение" за ненадобностью.

Поместить икону "Конец" в конец третьей ветки.


Вернуться к началу
 Профиль  
 
Показать сообщения за:  Поле сортировки  
Начать новую тему Ответить на тему  [ Сообщений: 88 ]  На страницу Пред.  1, 2, 3, 4, 5  След.

Часовой пояс: UTC + 3 часа


Кто сейчас на конференции

Сейчас этот форум просматривают: нет зарегистрированных пользователей и гости: 1


Вы не можете начинать темы
Вы не можете отвечать на сообщения
Вы не можете редактировать свои сообщения
Вы не можете удалять свои сообщения
Вы не можете добавлять вложения

Найти:
cron
Вся информация, размещаемая участниками на конференции (тексты сообщений, вложения и пр.) © 2008-2025, участники конференции «DRAKON.SU», если специально не оговорено иное.
Администрация не несет ответственности за мнения, стиль и достоверность высказываний участников, равно как и за безопасность материалов, предоставляемых участниками во вложениях.
Powered by phpBB® Forum Software © phpBB Group
Русская поддержка phpBB