DRAKON.SU

Текущее время: Вторник, 30 Декабрь, 2025 19:23

Часовой пояс: UTC + 3 часа




Начать новую тему Ответить на тему  [ Сообщений: 184 ]  На страницу Пред.  1, 2, 3, 4, 5, 6 ... 10  След.
Автор Сообщение
СообщениеДобавлено: Суббота, 27 Февраль, 2021 16:44 
Аватара пользователя

Зарегистрирован: Пятница, 19 Февраль, 2021 14:48
Сообщения: 128
Вот таким образом можно раскрывать логические выражения, тернарные операторы тоже так можно создавать.

На схеме отображаются лишь при входе в соответствующую икону, при выходе скрываются. Выражение из одной иконы можно не показывать.

Либо показывать все, но при наличии более одной иконы в выражении, сразу же будут видны сложные условия, требующие внимания.

И формировать их через конструктор логических выражений.

Читая код, зачастую тратишь мыслетопливо на разгадывание условий навроде (A and B and (C or D)), пытаешься не запутаться а скобках, в схематическом виде всё будет как на ладони.

Вот ещё причина переходить на Дракон-схемы, это экономия мыслетоплива при работе с алгоритмами, текстовое описание требует больших умственных затрат. Лучше потратить их на что-то другое, чем чтение алгоритма.


Вложения:
IMG_20210227_163238_956.jpg
IMG_20210227_163238_956.jpg [ 32.58 КБ | Просмотров: 9694 ]
IMG_20210227_163430_370.jpg
IMG_20210227_163430_370.jpg [ 26.25 КБ | Просмотров: 9694 ]
IMG_20210227_163436_045.jpg
IMG_20210227_163436_045.jpg [ 28.15 КБ | Просмотров: 9694 ]
IMG_20210227_163437_726.jpg
IMG_20210227_163437_726.jpg [ 27.08 КБ | Просмотров: 9694 ]
IMG_20210227_163440_526.jpg
IMG_20210227_163440_526.jpg [ 27.83 КБ | Просмотров: 9694 ]
Вернуться к началу
 Профиль  
 
СообщениеДобавлено: Суббота, 27 Февраль, 2021 20:47 
Аватара пользователя

Зарегистрирован: Суббота, 29 Март, 2008 19:27
Сообщения: 1097
Откуда: Россия, Чебоксары
ibnteo писал(а):
зачастую тратишь мыслетопливо на разгадывание условий навроде (A and B and (C or D)), пытаешься не запутаться а скобках, в схематическом виде всё будет как на ладони.
Повторю, что формулу (в аналогичном объёме) всё же понять проще, чем алгоритм.
Повторю, что слишком большие формулы (со скобками) - явный признак неадекватного решения задачи.

Замечу также, что логическое выражение в виде формулы - это декларатив.
А алгоритм - это императив. ОДНО ИЗ ВОЗМОЖНЫХ решений на основе декларатива.
И пока мы не занимаемся ручной оптимизацией кода, работать лучше с первоисточником (декларативом).
Выбирая производный инструмент вместо первоисточника, мы не приближаемся к решению задачи, а удаляемся от него.
На простейших лабораторных примерах этого не понять, потому что они тривиальны.
А вот при большой серьёзной работе...

Повторю в 100500-й раз на этом форуме: не следует алгоритмический слой выдавать за панацею и универсальное решение.
Каждому инструменту - своя область задач.
Работа с логикой в алгоритмическом представлении - это через-под левое колено, и не может быть рекомендована в реальном процессе проектирования софта.


Вернуться к началу
 Профиль  
 
СообщениеДобавлено: Воскресенье, 28 Февраль, 2021 11:24 

Зарегистрирован: Воскресенье, 24 Февраль, 2008 15:32
Сообщения: 6037
Откуда: Москва
ibnteo писал(а):
Через удобный инструмент можно будет получить критическую массу пользователей схем,

даже если небольшая часть перейдёт на схемы в повседневной работе, это будет гораздо больше людей, чем сейчас пользуются ДРАКОН-схемами.

Многие критики [языка ДРАКОН] могут вполне стать сторонниками, лишь попробовав поработать со схемами в своей реальной практике на своём реальном коде.

Заявленная цель (увеличение числа пользователей языка ДРАКОН) очень важна и заслуживает всемерной поддержки.


Вернуться к началу
 Профиль  
 
СообщениеДобавлено: Воскресенье, 28 Февраль, 2021 19:20 
Аватара пользователя

Зарегистрирован: Пятница, 19 Февраль, 2021 14:48
Сообщения: 128
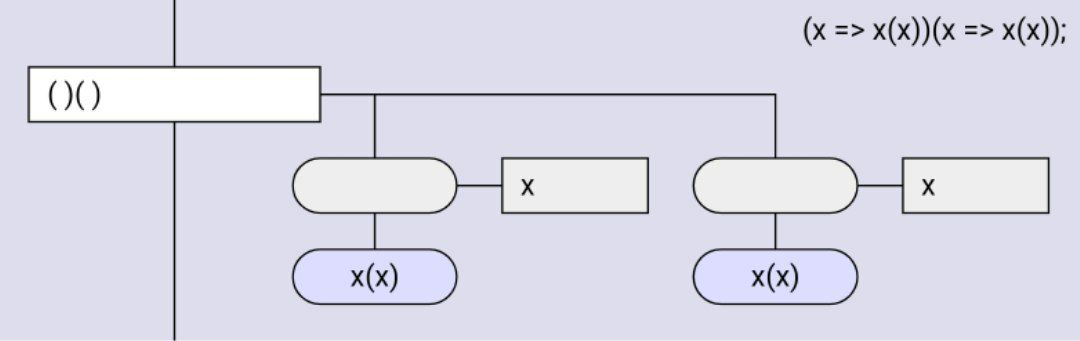
Функция и анонимная функция.


Вложения:
IMG_20210228_191826_654.jpg
IMG_20210228_191826_654.jpg [ 25.72 КБ | Просмотров: 9671 ]
Вернуться к началу
 Профиль  
 
СообщениеДобавлено: Воскресенье, 28 Февраль, 2021 19:24 
Аватара пользователя

Зарегистрирован: Пятница, 19 Февраль, 2021 14:48
Сообщения: 128
Массивы. Требуется схематическое отображение данных, в которых могут быть объявлены анонимные функции.


Вложения:
IMG_20210228_191803_466.jpg
IMG_20210228_191803_466.jpg [ 28.93 КБ | Просмотров: 9671 ]
Вернуться к началу
 Профиль  
 
СообщениеДобавлено: Воскресенье, 28 Февраль, 2021 20:49 
Аватара пользователя

Зарегистрирован: Пятница, 19 Февраль, 2021 14:48
Сообщения: 128
Для языков, где есть goto, можно оставить схему Силуэт, в коде обязательно должна будет встречаться первая метка, даже если на неё нет перехода.

Каждая последующая ветка это метка, последняя ветка вместо иконы Конец возвращается на основной шампур.

Если в коде перед меткой нет goto, то вставляем его на схеме как переход на эту метку, иначе на схеме будет показан выход из Силуэта, а на деле выхода нет.

Вставлять Силуэт можно будет в любое произвольное место в коде.

Можно не делать специальную схему, просто вставляем в произвольное место икону метки, после вставки второй иконы метки, получаем Силуэт из двух шампуров на левой части всё что между метками, на втором всё что идёт до конца блока. Иконы goto вставляются автоматически, можно менять у них лишь метку для перехода из списка меток. Интересно будет посмотреть, как будет выглядеть такой Силуэт на уже созданном в ДРАКОН-схемах коде, с goto переходами не только в Силуэте.


Вернуться к началу
 Профиль  
 
СообщениеДобавлено: Воскресенье, 28 Февраль, 2021 21:30 

Зарегистрирован: Пятница, 18 Январь, 2019 12:03
Сообщения: 53
Владимир Паронджанов писал(а):
ibnteo писал(а):
Через удобный инструмент можно будет получить критическую массу пользователей схем,

даже если небольшая часть перейдёт на схемы в повседневной работе, это будет гораздо больше людей, чем сейчас пользуются ДРАКОН-схемами.

Многие критики [языка ДРАКОН] могут вполне стать сторонниками, лишь попробовав поработать со схемами в своей реальной практике на своём реальном коде.

Заявленная цель (увеличение числа пользователей языка ДРАКОН) очень важна и заслуживает всемерной поддержки.


Пока эта единственная, сугубо на мой взгляд конечно, достойная цель. Я бы для начала написал плагин для Eclipse который может переводить блок-схемы в код и обратно. Но я умею программировать только на Си и только под микроконтроллеры, поэтому мне эта задача не по зубам. Делать все с нуля не эффективно.
Делать программу полностью зависимую от интернет соединения (только WEB версию) думаю полная утопия. Ну не будет интернета и что?

Думаю ibnteo пытается переделать иконы с учетом того языка на котором он привык работать. Это ошибка. Создатель языка ДРАКОН не привязывался к конкретному языку программирования поэтому и получилось нечто оригинальное. А делать программу под конкретный язык это всего-навсего надстройка. Вот сделал Митькин свой Drakon.Tech ну и какой мне толк от этого, если я на Си работаю, а там Си не поддерживается? А я мог бы помогать в дальнейшем развитии программы, если бы ей пользовался.


Вернуться к началу
 Профиль  
 
СообщениеДобавлено: Воскресенье, 28 Февраль, 2021 22:18 
Аватара пользователя

Зарегистрирован: Пятница, 19 Февраль, 2021 14:48
Сообщения: 128
Дышлевый Андрей писал(а):
Пока эта единственная, сугубо на мой взгляд конечно, достойная цель. Я бы для начала написал плагин для Eclipse который может переводить блок-схемы в код и обратно. Но я умею программировать только на Си и только под микроконтроллеры, поэтому мне эта задача не по зубам. Делать все с нуля не эффективно.
Делать программу полностью зависимую от интернет соединения (только WEB версию) думаю полная утопия. Ну не будет интернета и что?

Веб-сервер запускается на том компьютере, где работаешь, можно сделать в виде приложения, которое запускаешь как обычную программу, сейчас есть много программ, построенных на веб-технологиях, они очень удобные. Зато появляется возможность работать на любом удалённом компьютере, но для этого интернет нужен будет, но лишь в момент загрузки и сохранения файлов. Промежуточный код можно хранить в localStorage, 5 Мб выделяется сразу, без запроса, хранить можно лишь изменения, которые ещё не сохранены.

По поводу плагина к Eclipse, это не ко мне, спецификация ДраконКода будет открыта, кому будет нужно, сможет реализовать под свои потребности.

Дышлевый Андрей писал(а):
Думаю ibnteo пытается переделать иконы с учетом того языка на котором он привык работать. Это ошибка. Создатель языка ДРАКОН не привязывался к конкретному языку программирования поэтому и получилось нечто оригинальное. А делать программу под конкретный язык это всего-навсего надстройка. Вот сделал Митькин свой Drakon.Tech ну и какой мне толк от этого, если я на Си работаю, а там Си не поддерживается? А я мог бы помогать в дальнейшем развитии программы, если бы ей пользовался.

Планирую сделать поддержку максимально возможного количества языков программирования. Си в этом списке будет точно, так как мне он сейчас как раз и необходим больше всего, требуется написать прошивку для однорукой клавиатуры (можно работать вслепую в паре с мышью, и двумя руками тоже), и хотелось бы написать её в редакторе схем, если проект сильно не затянется.

Drakon.Tech можно же доработать до поддержки си, это же минимальные изменения. Так бы и сделал, если бы было достаточно писать лишь новый код на схемах. Но требуется инструмент для работы над любым кодом, на разных языках, да ещё и со смартфона, и удалённо, в поездки можно будет не брать ноутбук.

Вообще, через схемы можно работать не только с программами, но и с текстовыми документами, документация, стили, разметка. У ДРАКОН-а всё что надо есть, а чего нет, можно добавить. Уйдём от текстовой разметки в разметку блоками в схеме, будет гораздо нагляднее.


Вернуться к началу
 Профиль  
 
СообщениеДобавлено: Воскресенье, 28 Февраль, 2021 23:44 
Аватара пользователя

Зарегистрирован: Пятница, 19 Февраль, 2021 14:48
Сообщения: 128
Навигация по файловой системе, в ДраконКоде будет слева со своим вертикальным скроллингом. При переходе на икону директории перерисовываем эту часть схемы, при переходе по иконе файла открываем его схему правее, текущий файл выделяется в списке. При клике на текущую директорию, можем её править, переименовать, изменить права доступа, удалить, и т.п. При клике иконы Начало в схеме открытого файла, можем его переименовать, изменить права доступа, удалить, скопировать, переместить.

Не нужно будет делать отдельный интерфейс для навигации по схемам, ДраконКод позволит это делать прямо на схеме, которая будет занимать весь экран браузера (приложения).


Вложения:
IMG_20210228_233357_656.jpg
IMG_20210228_233357_656.jpg [ 80.08 КБ | Просмотров: 9653 ]
Вернуться к началу
 Профиль  
 
СообщениеДобавлено: Понедельник, 01 Март, 2021 09:24 

Зарегистрирован: Воскресенье, 24 Февраль, 2008 15:32
Сообщения: 6037
Откуда: Москва
Когда будет готов ДраконКод?
Через три месяца?
Через полгода?
Через год?
Через два года?
Через три года?


Вернуться к началу
 Профиль  
 
СообщениеДобавлено: Понедельник, 01 Март, 2021 17:45 
Аватара пользователя

Зарегистрирован: Пятница, 19 Февраль, 2021 14:48
Сообщения: 128
Владимир Паронджанов писал(а):
Когда будет готов ДраконКод?
Через три месяца?
Через полгода?
Через год?
Через два года?
Через три года?


Возможен любой из вариантов, стараюсь ускорить работу, пока есть настрой, чем раньше, тем лучше.


Вернуться к началу
 Профиль  
 
СообщениеДобавлено: Понедельник, 01 Март, 2021 17:50 
Аватара пользователя

Зарегистрирован: Пятница, 19 Февраль, 2021 14:48
Сообщения: 128
Похоже, что для лямбда функций надо делать свою икону, чтобы параметры функции находились на основной оси, наверное просто соединю иконы одну под другую. У именованных функций можно оставить как есть, а может так же сделать.


Вложения:
IMG_20210301_173714_149.jpg
IMG_20210301_173714_149.jpg [ 26.48 КБ | Просмотров: 9637 ]
IMG_20210301_173232_241.jpg
IMG_20210301_173232_241.jpg [ 19.05 КБ | Просмотров: 9637 ]
IMG_20210301_173230_269.jpg
IMG_20210301_173230_269.jpg [ 27.88 КБ | Просмотров: 9637 ]
Вернуться к началу
 Профиль  
 
СообщениеДобавлено: Понедельник, 01 Март, 2021 20:12 
Аватара пользователя

Зарегистрирован: Пятница, 19 Февраль, 2021 14:48
Сообщения: 128
Lisp тоже можно будет добавить.


Вложения:
IMG_20210301_201036_092.jpg
IMG_20210301_201036_092.jpg [ 65.45 КБ | Просмотров: 9629 ]
Вернуться к началу
 Профиль  
 
СообщениеДобавлено: Понедельник, 01 Март, 2021 20:28 
Аватара пользователя

Зарегистрирован: Пятница, 19 Февраль, 2021 14:48
Сообщения: 128
Узкие схемы хороши тем, что можно будет открывать несколько схем сразу, у каждой свой скроллинг по вертикали, так будет просто перетаскивать код из одного места в другое, на ту же самую схему, или на другую, смотреть разные участки кода, не покидая то место, где сейчас работаешь. Причём даже на экране смартфона это будет удобно делать, как при нормальном масштабе, так и уменьшив схему, всё равно её видно хорошо.


Вернуться к началу
 Профиль  
 
СообщениеДобавлено: Понедельник, 01 Март, 2021 21:54 
Аватара пользователя

Зарегистрирован: Пятница, 19 Февраль, 2021 14:48
Сообщения: 128
Для рисования схем на любом сайте, используя JS-библиотеку, вместо исходного кода какого-либо языка, можно использовать более простой текстовый формат. Здесь видел уже описание блоков в скобках, имена икон можно сделать на разных языках, начать с русского и английского.


Вернуться к началу
 Профиль  
 
СообщениеДобавлено: Вторник, 02 Март, 2021 15:57 
Аватара пользователя

Зарегистрирован: Пятница, 19 Февраль, 2021 14:48
Сообщения: 128
Вот здесь предлагается лисп синтаксис для ДРАКОН-а: https://forum.drakon.su/viewtopic.php?f=62&t=1425#p30902

Я же склоняюсь к символьному блочному, с метками конца блоков:

Код:
( Заголовок )
[ Вставка ]
[- Полка -
   Вторая часть ]
[ Многострочная
  вставка ]
< Вопрос > Да Нет
[ Печать "Да" >
< ->
[ Печать "Нет" >
< >
/ Выбор /
| Вариант1 |
[ a=1 ]
| Вариант 2 |
[ a=2 ]
| |
[ a=0 ]
/ /
( Конец )

С ИНАЧЕ надо ещё подумать, как лучше обозначить.

Силуэт будет как и коде организован, через Метку и Переход.

Это тот текст, что будет вставляться в поле КОД на сайтах.


Вернуться к началу
 Профиль  
 
СообщениеДобавлено: Вторник, 02 Март, 2021 19:41 

Зарегистрирован: Понедельник, 25 Июнь, 2012 17:26
Сообщения: 396
ibnteo писал(а):
для создания произвольных схем, можно будет сделать свой текстовый формат, в нём как раз можно будет запретить использование висящих икон

Как-то сомнительно, раз уж речь о массовом программировании, что мейнстрим сможет обойтись без "висящих" икон. Наоборот, наблюдается "гиперусиление" противоположной тенденции.
ibnteo писал(а):
Всё же нужен логический конструктор, не только разворачивать if(?), но и в присваивании a=?, в return ?, в циклах. Иначе сложные логические конструкции придётся строить в текстовом виде, а не на схеме.

Есть ещё и конъюнкция функций, обозначаемое через умножение (преимущественно в "функциональщине") или, в основном, через точку. Также есть и операторы вида "|>", "<|", и "каскадные" операторы (например "..": "a = [1,2,3] ..push(4) ..push(5);").

Это композитные функции, как минимум, подразумевающие операцию следования (отображаемую на схемах как связь между вершинами графа).
ibnteo писал(а):
Вот таким образом можно раскрывать логические выражения, тернарные операторы тоже так можно создавать.

Кроме тернарных операторов есть и "множественный выбор" в виде "case..of/match...with", возвращающие значения. Такие операторы могут соединяться в цепочки (результат выбора подается на вход следующему блоку).
А в целом, необходимо предполагать, что сейчас любой чих есть ака expression с результатом. Те же циклы уже возвращают значения (например, см. Rust как фактически уже мейнстрим). К тому же, видимо, модель циклов с else-частью (исполняемой, если тело цикла не завершилось через break) скоро уже будет всеобщим стандартом.
Формат условных выражений (для if, циклов и пр.) будет расширяться: от уже распространенного на сегодня как "init; condition", где init -- необязательная часть обычно с введением новых локальных переменных, до произвольного блока вычислений с конечным результатом, трансформируемым к логической валентности. Например, как для циклов в новой Scala:
https://dotty.epfl.ch/docs/reference/dropped-features/do-while.html

Такой произвольный "условный" блок может возникать где угодно, например, внутри "иконы выбор" как в этих примерчиках на Rust (где результаты -- это "варианты" для "выбора", подобный функционал уж очень вероятно будет не только прототипным):
https://github.com/rust-lang/rfcs/issues/1380

Нет сомнений, что такая фичастая "императивная функциональщина" пролезет во все дыры мейнстрима.
ibnteo писал(а):
При наличии висящих икон (break, continue, return) зачастую потребуется делать выход ДА справа, иначе шампур будет разорван. Возможность поворачивать икону это большой плюс, избавляемся от отрицания в вопросах, где зачастую и не ответишь Да или Нет, "Не переходить вниз?", Да (не переходить), Нет (не переходить), это будет узкое место в построении логических связей, и источник ошибок.

Есть ещё такие операторы как "guard" в Swift -- специальная форма "if" без then с else-частью, как правило, с return, при этом вводимые переменные (если есть) ассоциируются с дальнейшей внешней областью.
Также есть и такие "защитные" операторы как "?" в Rust, осуществляющий досрочный return из любого выражения (собственно-то, даже "не имеющий своих вопросов").
ibnteo писал(а):
Внутрь других структур переходов не будет

Ключевое -- необходимо ещё поиметь эти "структуры", или обобщённо -- "области определения", и не только как условные и циклические зоны (вплоть до "просто блок"). Переменные возникают где угодно (внутри условных выражений, в блоках), с переменными могут быть ассоциированны неявные действия (напр., деструктуры), скрываемые "ненаглядным" текстом. Возможны такие модные управляющие конструкции как "defer" из Go (а также "panic" и "recover") -- вновь текст "скрывает" следование таких действий (в смысле не точку их определения, а реальное исполнение). В Go 2 добавятся дополнительные инструкции "check" и "handle" для расширения политики отложенных действий. В языке D есть инструкция scope(exit/success/failure) -- также отложенные действия с учётом (или нет) возникших исключений (такой механизм не заменяет исключения).
Вновь нет сомнений, что отложенные действия станут повсеместными в мейнстриме (часть функционала эмулируются имеющимися средствами языка, если нет специализированных).
ibnteo писал(а):
Анонимная функция идёт справа от Действия.

Не редко встречается так называемый паттерн "конструкторов" (ака builder-ы, если не ошибаюсь, мода на которые полезла когда-то от Ruby и его подражателей аля Groovy и пр.). Через инъекцию блоков как анонимные функции выстраиваются определенные структуры, в том числе и иерархические. Характер таких структур может быть и как "данные" (ака построение DOM), и как "управляющий", к примеру, реализация сопрограмм в Kotlin. Подобные структуры могут заменить такие операторы как reset/shift в Scala (организация "продолжений"), реализовать политику "исключений" как "condition/restart" (из Lisp -- возможность возобновления работы после уточнений где-то "сверху" в обработчиках исключений), асинхронное взаимодействие и пр. Причём точки "входа/выхода" в алгоритме могут быть не только как вызов неких функций/специальных операторов (ака yield, операции чтения/записи и т.п.), но и аргументы анонимных функций могут символизировать "события".

В общем, по сути, в текстовом языке на сегодня могут быть уж очень разнообразные декларирующие и управляющие конструкты. Часть из них относится не ко времени исполнения -- явные операторы препроцессора, модные ныне constexpr в каком-либо виде (в т.ч. и как условный if и пр.).
Могут быть какие-то макро/шаблонные инъекции, выглядящие как исполнимый код (ака вызов функций), но создающие типы, переменные, описывающие операции и т.п.

Такие структуры требуют разметки с уточнением семантики.


Вернуться к началу
 Профиль  
 
СообщениеДобавлено: Вторник, 02 Март, 2021 19:45 

Зарегистрирован: Понедельник, 25 Июнь, 2012 17:26
Сообщения: 396
ibnteo писал(а):
возможность работать с любым уже имеющимся исходным кодом множества языков программирования, с сохранением схемы обратно в исходный код этого языка

Всё же, блок-схемы и их "упорядоченные" производные как модель деятельности -- граф, выражающий отношение следования, где вершины -- выполняемые действия, работы. Через "терминаторы" ("начало", "конец" и др.) граф соединяется с условным графом внешней среды (в Дракон-е некоторые специализированные "терминаторы" определены как иконы "реального времени"), плюс "развилки" -- это ключевое. Чем больше неявных действий, тем сильнее модель деятельности приобретает оттенок "лишь протокола о намерениях". Чем больше тех же циклов "без стрелок", "свисающих" элементов, требующих специализированной интерпретации -- тем меньше "графа".

Впечатление, что для мейнстрим-кода уж лучше доработать диаграммы Насси — Шнейдермана, сделать какой-нибудь Scratch или Google Blockly для "true-программистов", тем более если необходимо "один в один".

Ещё вариант -- "горизонтальный Дракон" -- InteloGraf:
https://forum.drakon.su/viewtopic.php?t=4060
http://intelograf.narod.ru/

В InteloGraf только "висячие" элементы, но упорядоченные, причём "двумерность" работает по полной (слева направо, сверху вниз, return-ы возникают в конце "веток", с возможностью иметь только одну "ветку" на условие, много "веток" на вариант "вопроса" и т.д.). Циклы "замкнутые" в виде икон-границ (с возможностью без парной иконы), для "да"/"нет" даже отдельные фигурки.
Такой инженерный стиль как-то "адаптивнее", уж что ли, к мейнстрим-коду.


Вернуться к началу
 Профиль  
 
СообщениеДобавлено: Вторник, 02 Март, 2021 19:46 

Зарегистрирован: Понедельник, 25 Июнь, 2012 17:26
Сообщения: 396
ibnteo писал(а):
Вот таким образом можно раскрывать логические выражения

Пожалуй, вот для "горизонтального Дракон-а" неплохой потенциал у "FBD" (если, всё же, нужно уж "раскрывать"):
https://forum.drakon.su/viewtopic.php?p=61303

Изображение


Вернуться к началу
 Профиль  
 
СообщениеДобавлено: Вторник, 02 Март, 2021 19:51 

Зарегистрирован: Понедельник, 25 Июнь, 2012 17:26
Сообщения: 396
ibnteo писал(а):
Читая код, зачастую тратишь мыслетопливо на разгадывание условий навроде (A and B and (C or D)), пытаешься не запутаться а скобках, в схематическом виде всё будет как на ладони.

В предложенных выше вариантах форм отнюдь не "как на ладони" (скорее наоборот, без формул "ладони" не понять).
ibnteo писал(а):
Вот ещё причина переходить на Дракон-схемы, это экономия мыслетоплива при работе с алгоритмами, текстовое описание требует больших умственных затрат. Лучше потратить их на что-то другое, чем чтение алгоритма.

Пока кое-какие практические эксперименты не очень впечатляют, если говорить о "схема <=> текст" как "один в один" в мейнстриме:
https://forum.drakon.su/viewtopic.php?f=208&t=6971#p105354

И вряд ли причина в том, что схема является новой формой представления алгоритмов в обиходе у испытуемых и требует существенного периода привыкания, освоения (согласно гипотезе по ссылке выше). Вероятно, испытуемые вполне знакомы с тем, что есть блок-схема. Никакого "отторжения", вроде бы, схемы не вызывают, если они возникают условно бесплатно. Неисключено, что "симультанное восприятие" в целом чуть лучше, особенно если обозримость комплекта схем шире, чем возможного набора текстовых кусков на одном и том же рабочем поле (к слову, форма InteloGraf, вероятно, несколько способствует экономии рабочего места).
Может быть для мейнстрима, как перманентного любителя изобретать себе средства для отстрела ног, какое-то "раскрытие" формул не помешает, если будут выявляться подобные ошибки, как здесь с оператором "?:" (см. "обзор дефектов кода"):
https://habr.com/ru/company/pvs-studio/blog/478284/

Но в целом, для случая "один в один" в мейнстриме, принципиально качественно нового, фактически, ничего нет (вероятно, проблематика не только в локальной сложности чтения формул).


Вернуться к началу
 Профиль  
 
Показать сообщения за:  Поле сортировки  
Начать новую тему Ответить на тему  [ Сообщений: 184 ]  На страницу Пред.  1, 2, 3, 4, 5, 6 ... 10  След.

Часовой пояс: UTC + 3 часа


Кто сейчас на конференции

Сейчас этот форум просматривают: нет зарегистрированных пользователей и гости: 1


Вы не можете начинать темы
Вы не можете отвечать на сообщения
Вы не можете редактировать свои сообщения
Вы не можете удалять свои сообщения
Вы не можете добавлять вложения

Найти:
cron
Вся информация, размещаемая участниками на конференции (тексты сообщений, вложения и пр.) © 2008-2025, участники конференции «DRAKON.SU», если специально не оговорено иное.
Администрация не несет ответственности за мнения, стиль и достоверность высказываний участников, равно как и за безопасность материалов, предоставляемых участниками во вложениях.
Powered by phpBB® Forum Software © phpBB Group
Русская поддержка phpBB