DRAKON.SU

Текущее время: Четверг, 29 Январь, 2026 17:28

Часовой пояс: UTC + 3 часа




Начать новую тему Ответить на тему  [ Сообщений: 42 ]  На страницу 1, 2, 3  След.
Автор Сообщение
СообщениеДобавлено: Пятница, 12 Февраль, 2021 11:11 

Зарегистрирован: Вторник, 09 Февраль, 2021 16:06
Сообщения: 7
Здравствуйте!
Меня зовут Татьяна. Я - руководитель центра, который занимается обучением детей с особенностями развития. Заинтересовалась языком “Дракон” и хочу использовать его для создания алгоритмов, по которым будут обучаться начинающие педагоги и родители.

Возникает много вопросов.

Вот два моих первых алгоритма. Делала в приложении drawio.Один - силуэт, другой - примитив. Больше вопросов по силуэту - там очень много повторений (практически все циклы повторяются).

Но как сделать так чтобы повторений не было, но не было и пересечений линий - я не смогла понять. То есть при остальных вариантах постоянно появлялись пересечения.

Заранее прошу прощения, если я что-то не дополняла - у меня гуманитарное образование)


Вложения:
отвлечение.png
отвлечение.png [ 109.63 КБ | Просмотров: 11880 ]
Обучение СР.png
Обучение СР.png [ 71.97 КБ | Просмотров: 11880 ]
Вернуться к началу
 Профиль  
 
СообщениеДобавлено: Пятница, 12 Февраль, 2021 12:26 

Зарегистрирован: Воскресенье, 24 Февраль, 2008 15:32
Сообщения: 6037
Откуда: Москва
1. Не надо использовать редактор drawio. Это плохо.

2. Используйте бесплатный ДРАКОН-конструктор DrakonHub Степана Митькина (by Stepan Mitkin, Norway). Ссылка

3. Вот инструкция. Ссылка

4. Я отредактировал ваше сообщение для лучшей читаемости

5 Послал вам три книги по ДРАКОНу


Вернуться к началу
 Профиль  
 
СообщениеДобавлено: Пятница, 12 Февраль, 2021 12:43 

Зарегистрирован: Четверг, 08 Май, 2008 19:13
Сообщения: 132
Откуда: Киев
Владимир Даниелович, можете подсказать сразу, как лучше оформлять описание и вызовы подпрограмм, чтобы избежать повторяющихся частей? Можно ссылкой на страницу.


Вернуться к началу
 Профиль  
 
СообщениеДобавлено: Пятница, 12 Февраль, 2021 13:04 

Зарегистрирован: Воскресенье, 24 Февраль, 2008 15:32
Сообщения: 6037
Откуда: Москва
Comdiv писал(а):
Владимир Даниелович, можете подсказать сразу, как лучше оформлять описание и вызовы подпрограмм, чтобы избежать повторяющихся частей? Можно ссылкой на страницу.

Не торопитесь.
Сначала нужно понять, зачем все это вообще нужно.
Из алгоритма это непонятно.
Какова цель? Какова задача алгоритма?

Это должно быть ясно сказано, но в алгоритме этого нет.

Кроме того, я не уверен, что Татьяне понравится слово подпрограмма и термин "вызовы подпрограмм". Я постараюсь обойтись без этого пугающего и вредного жаргона.


Вернуться к началу
 Профиль  
 
СообщениеДобавлено: Пятница, 12 Февраль, 2021 13:11 

Зарегистрирован: Четверг, 08 Май, 2008 19:13
Сообщения: 132
Откуда: Киев
Можно назвать это как угодно, лишь бы работало. Часть алгоритма, которая повторяется в нескольких местах, но не последовательно, как в цикле, а в произвольной последовательности. Хотя здесь, похоже, можно обойтись и циклом.
Заодно скажу, что алгоритм зацикливается, если обучаемый ни разу не сможет выполнить задание без подсказки. Нужен ограничитель на количество попыток.

Программа передач - это не пугающий и вредный жаргон?


Последний раз редактировалось Comdiv Пятница, 12 Февраль, 2021 13:19, всего редактировалось 1 раз.

Вернуться к началу
 Профиль  
 
СообщениеДобавлено: Пятница, 12 Февраль, 2021 13:16 

Зарегистрирован: Воскресенье, 24 Февраль, 2008 15:32
Сообщения: 6037
Откуда: Москва
Comdiv писал(а):
Можно назвать это как угодно, лишь бы работало. Часть алгоритма, которая повторяется в нескольких местах, но не последовательно, как в цикле, а в произвольной последовательности.
Программа передач - это не пугающий жаргон?

Комдив, Татьяна обратилась к нам не для того, чтобы мы учили ее программированию.
Ей это совсем не нужно.
У нее другие цели.

Программа, Программа передач, произвольной последовательности — это тоже пугающие и вредные термины.


Вернуться к началу
 Профиль  
 
СообщениеДобавлено: Пятница, 12 Февраль, 2021 13:21 

Зарегистрирован: Четверг, 08 Май, 2008 19:13
Сообщения: 132
Откуда: Киев
А слова "произвольной последовательности" - это было обращено к Вам. Есть же возможность обращаться к части алгоритма из разных мест(вроде, ничего пугающего)?

"Программа передач" - непонятный термин? Кто-то не понимает телевизионную программу передач? Вообще, термин "программа" был до программирования компьютеров и остаётся термином в широком смысле.


Вернуться к началу
 Профиль  
 
СообщениеДобавлено: Пятница, 12 Февраль, 2021 13:31 

Зарегистрирован: Воскресенье, 24 Февраль, 2008 15:32
Сообщения: 6037
Откуда: Москва
Comdiv писал(а):
Заодно скажу, что алгоритм зацикливается, если обучаемый ни разу не сможет выполнить задание без подсказки. Нужен ограничитель на количество попыток.

Комдив, вы разумеется, правы.

Но говорить сейчас об этом не стоит.
Сначала нужно, чтобы Татьяна забыла и не беспокоилась о проблеме пересечаний, которые ее огорчают.

Для этого нужно выбросить кошмарный редактор drawio и перейти на DrakonHub, который заботится о пользователе, помогает пользователю, ласкает пользователя и автоматически устраняет головную боль о пересечениях.


Вернуться к началу
 Профиль  
 
СообщениеДобавлено: Пятница, 12 Февраль, 2021 13:42 

Зарегистрирован: Воскресенье, 24 Февраль, 2008 15:32
Сообщения: 6037
Откуда: Москва
Comdiv писал(а):
А слова "произвольной последовательности" - это было обращено к Вам. Есть же возможность обращаться к части алгоритма из разных мест(вроде, ничего пугающего)?

"Программа передач" - непонятный термин? Кто-то не понимает телевизионную программу передач? Вообще, термин "программа" был до программирования компьютеров и остаётся термином в широком смысле.

Комдив, я благодарен вам за участие в дискуссии и буду очень рад, если вы продолжите опекать Татьяну.

Вполне возможно, что Татьяне ваши объяснения и термины понравятся гораздо больше, чем мои, и это очень хорошо.

Конечно, я перестраховываюсь, чтобы не сказать лишнего.
Может быть, гораздо лучше говорить кратко и прямо, как это делаете вы.
Татьяна сможет выбрать, что ей больше подойдет.


Вернуться к началу
 Профиль  
 
СообщениеДобавлено: Пятница, 12 Февраль, 2021 15:17 

Зарегистрирован: Четверг, 08 Май, 2008 19:13
Сообщения: 132
Откуда: Киев
Я понял алгоритм так:
Код:
ДЕЙСТВИЕ Обучение-с-отвлечением:

    ВЫПОЛНИТЕ Задание-с-отвлечением(задача№1, отвлечение№1)
    ВЫПОЛНИТЕ Задание-с-отвлечением(задача№2, отвлечение№2)
    ВЫПОЛНИТЕ Задание-с-отвлечением(задача№3, отвлечение№3)

КОНЕЦ Обучение-с-отвлечением.

ГДЕ

    ДЕЙСТВИЕ Задание-с-отвлечением(задача, отвлечение):

        ВЫПОЛНИТЕ Задание(задача)
        ВЫПОЛНИТЕ отвлечение   (-- сделайте таким образом паузу --)
        ВЫПОЛНИТЕ Задание(задача)

        (--  выполнение задания подразумевает успешную попытку решения задачи,
             поэтому здесь уже обязано быть 2-е успешные попытки без необходимости повторения
         --)
    КОНЕЦ Задание-с-отвлечением.

ГДЕ

    ДЕЙСТВИЕ Задание(задача):

        Дайте задачу без подсказок

        ПОКА НЕ выполнил задачу ДЕЛАЙТЕ
            ПОВТОРЯЙТЕ
                Дайте новую минимально возможную гарантированную подсказку
            ПОКА НЕ выполнит задачу

            Вновь дайте задачу без подсказок
        ПОВТОР
    КОНЕЦ Задание.

Пока оформил псевдокодом, так как это легче


Вернуться к началу
 Профиль  
 
СообщениеДобавлено: Пятница, 12 Февраль, 2021 21:05 

Зарегистрирован: Вторник, 09 Февраль, 2021 16:06
Сообщения: 7
Про конструктор поняла - буду использовать его. Название алгоритма про обучение с отвлечением, можно ли переделать так - "Обучение ребёнка новому навыку с использованием усложняющихся отвлечений"?


Вернуться к началу
 Профиль  
 
СообщениеДобавлено: Суббота, 13 Февраль, 2021 00:43 

Зарегистрирован: Четверг, 08 Май, 2008 19:13
Сообщения: 132
Откуда: Киев
Оказывается, drakonhub не позволяет на одной диаграмме создавать подзадачи, поэтому оформил всё в циклах, что, на мой взгляд, теряет в наглядности.

Ссылка на диаграмму - https://drakonhub.com/ide/doc/comdiv/2

В целом, это крайне непросто оформлять код так.


Вернуться к началу
 Профиль  
 
СообщениеДобавлено: Суббота, 13 Февраль, 2021 12:56 

Зарегистрирован: Воскресенье, 24 Февраль, 2008 15:32
Сообщения: 6037
Откуда: Москва
Татьяна Грузинова писал(а):
Название алгоритма про обучение с отвлечением, можно ли переделать так - "Обучение ребёнка новому навыку с использованием усложняющихся отвлечений"?
Так понятнее, спасибо.

Что такое отвлечение?
Зачем оно нужно?

Это общепринятый термин в педагогике? Если да, где можно про это прочитать? Просьба дать ссылку.

Или это новый термин, который действует только внутри вашего Центра? Какие есть стандартные аналоги и синонимы для термина отвлечение?


Вернуться к началу
 Профиль  
 
СообщениеДобавлено: Суббота, 13 Февраль, 2021 13:07 

Зарегистрирован: Воскресенье, 24 Февраль, 2008 15:32
Сообщения: 6037
Откуда: Москва
Comdiv писал(а):
Оказывается, drakonhub не позволяет на одной диаграмме создавать подзадачи, поэтому оформил всё в циклах, что, на мой взгляд, теряет в наглядности.

Ссылка на диаграмму - https://drakonhub.com/ide/doc/comdiv/2

В целом, это крайне непросто оформлять код так.

Комдив, спасибо за ваш вариант. Вы правы, это ненаглядно.
Я бы не решился предлагать Татьяне даже один цикл ДЛЯ (for).
А два, да еще вложенных цикла ДЛЯ, это вообще слишком громоздко.

Посмотрим, что скажет сама Татьяна, как верховный судья.


Вернуться к началу
 Профиль  
 
СообщениеДобавлено: Суббота, 13 Февраль, 2021 14:23 

Зарегистрирован: Четверг, 08 Май, 2008 19:13
Сообщения: 132
Откуда: Киев
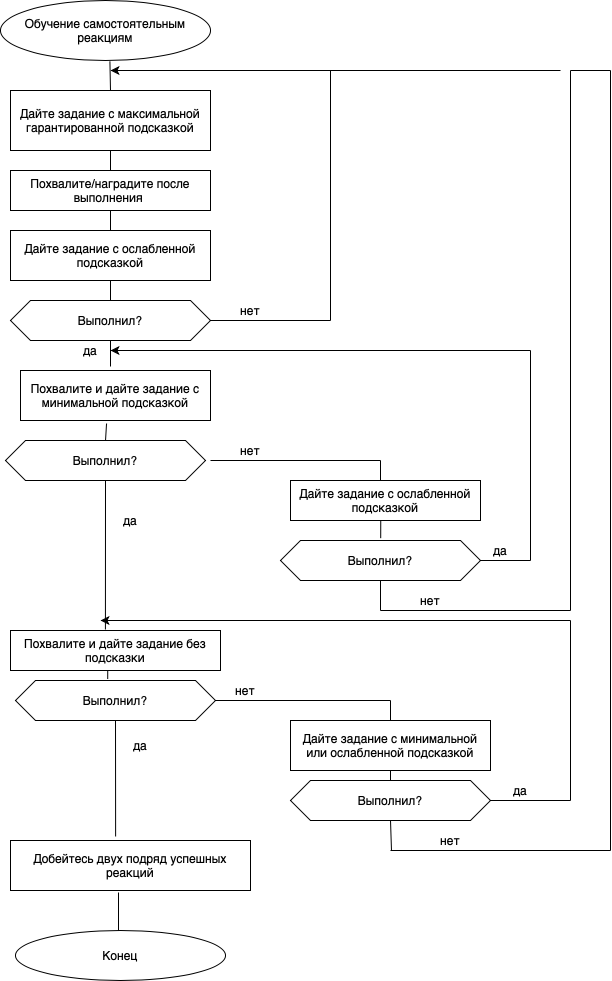
Сделал диаграмму для "Обучения самостоятельным реакциям" - https://drakonhub.com/ide/doc/comdiv/4 , оставив за рамками псевдо-шага "добейтесь двух подряд успешных реакций". Эта часть должна быть частью цикла, но требует прояснения.

В этой диаграмме налицо 4-е выполнения одного и того же действия, но с ослаблением подсказок. То есть, опять требуется подпрограммы, и диаграмма без них усложняет понимание.

На псевдокоде это выглядело бы так:
Код:
ДЕЙСТВИЕ Обучение-самостоятельным-реакциям(задача):

    ПОВТОРЯЙТЕ
        ВЫПОЛНИТЕ Задание(задача, максимально-гарантированная-подсказка)

        ЕСЛИ задание успешно выполнено ТО
            ВЫПОЛНИТЕ Задание(задача, ослабленная-подсказка)

            ЕСЛИ задание успешно выполнено ТО
                ВЫПОЛНИТЕ Задание(задача, минимальная-подсказка)

                ЕСЛИ задание успешно выполнено ТО
                    ВЫПОЛНИТЕ Задание(задача, без-подсказки)
                КОНЕЦ
            КОНЕЦ
        КОНЕЦ
    ПОКА задача без-подсказки не будет успешно выполнена

КОНЕЦ Обучение-самостоятельным-реакциям.

ГДЕ

    ДЕЙСТВИЕ Задание(<задача>, <подсказка>):

        ПОВТОРЯЙТЕ
            Дайте <задачу> с заданным уровнем <подсказки>
            ЕСЛИ выполнил ТО
                Похвалите/наградите за выполнение
                Считаем выполнение успешным
            ИНАЧЕ
                Дайте <задачу> с более сильным уровнем <подсказки>
                ЕСЛИ выполнил ТО
                    Считаем, что нужно-закрепить-текущий-результат
                ИНАЧЕ
                    Считаем выполнение проваленным
                КОНЕЦ
            КОНЕЦ
        ПОКА нужно-закрепить-текущий-результат

    КОНЕЦ Задание.


Вернуться к началу
 Профиль  
 
СообщениеДобавлено: Суббота, 13 Февраль, 2021 14:36 

Зарегистрирован: Четверг, 08 Май, 2008 19:13
Сообщения: 132
Откуда: Киев
Владимир Паронджанов писал(а):
Вы правы, это ненаглядно.
Я бы не решился предлагать Татьяне даже один цикл ДЛЯ (for).
А два, да еще вложенных цикла ДЛЯ, это вообще слишком громоздко.

Посмотрим, что скажет сама Татьяна, как верховный судья.
А что судить-то? Тут либо исходная диаграмма с 6-и кратным дублированием, либо моя диаграмма с циклами, либо мой же псевдокод с подпрограммами, но в текстовом виде.
Хотелось бы увидеть ваш вариант диаграммы на DrakonHub.


Вернуться к началу
 Профиль  
 
СообщениеДобавлено: Суббота, 13 Февраль, 2021 16:06 

Зарегистрирован: Воскресенье, 24 Февраль, 2008 15:32
Сообщения: 6037
Откуда: Москва
Comdiv писал(а):
Хотелось бы увидеть ваш вариант диаграммы на DrakonHub.
Я буду его строить совместно с Татьяной. Сейчас она осваивает DrakonHub. И выложит свой вариант, опираясь на вашу схему или пойдет своим путем.
Посмотрим, что получится.


Вернуться к началу
 Профиль  
 
СообщениеДобавлено: Суббота, 13 Февраль, 2021 19:14 

Зарегистрирован: Четверг, 08 Май, 2008 19:13
Сообщения: 132
Откуда: Киев
Владимир Паронджанов писал(а):
Я буду его строить совместно с Татьяной.
Пожалуйста, Владимир Даниелович, сделайте одолжение - покажите пусть и черновой вариант. Или хотя бы объясните, как Вы это видите.


2-й вариант диаграммы для обучения самостоятельным реакциям - https://drakonhub.com/ide/doc/comdiv/6


Вернуться к началу
 Профиль  
 
СообщениеДобавлено: Суббота, 13 Февраль, 2021 21:46 

Зарегистрирован: Воскресенье, 24 Февраль, 2008 15:32
Сообщения: 6037
Откуда: Москва
Comdiv писал(а):
покажите пусть и черновой вариант. Или хотя бы объясните, как Вы это видите.

2-й вариант диаграммы для обучения самостоятельным реакциям - https://drakonhub.com/ide/doc/comdiv/6

Я, предположительно, вижу сочетание цикла Стрелка и веточного цикла, как и у вас в силуэте. Ссылка

1. У вас лучше чем у Татьяны: ветки имеют смысловое название, а не бессмысленную нумерацию. Опора на смысл очень важна. Нумерация недопустима.

2. Порядок веток у вас, скорее всего, неправильный. Ветки следует располагать в том порядке, в каком они включаются в работу. По принципу чем правее, тем позже (кроме веточных циклов).

3. Достоинство: Вы соблюдаете Правило Сергея Ефанова Ссылка

4. Икону Конец надо поднять почти вплотную к иконе Успех (Правило минимальной длины соединительных линий).

5. Слово Успех заменить на Завершение. Там нет никакого успеха, так как ветка пустая. Название ветки должно точно отражать ее содержание. Если нужно подчеркнуть, что мы успешно добрались до конца, надо в последнюю ветку ввести икону Комментарий.

__________________________

6. В иконе Заголовок я бы писал (как и у Татьяны) то, что вы писали в предыдущем варианте. Ссылка

7. Отсутствуют иконы Пауза, которые есть у Татьяны.


Вернуться к началу
 Профиль  
 
СообщениеДобавлено: Воскресенье, 14 Февраль, 2021 01:34 

Зарегистрирован: Четверг, 08 Май, 2008 19:13
Сообщения: 132
Откуда: Киев
Половина комментариев получилась потому, что Вы комментировали 2-а разных алгоритма.
Меня в первую очередь интересовал 1-й алгоритм, который в оригинале шёл с 6-и кратным дублированием. Правильно ли я понимаю, что дублирование Вас устраивает, а вопросы есть лишь к другим деталям? Что будет, если, предположим, дубликатов будет ещё больше?


Вернуться к началу
 Профиль  
 
Показать сообщения за:  Поле сортировки  
Начать новую тему Ответить на тему  [ Сообщений: 42 ]  На страницу 1, 2, 3  След.

Часовой пояс: UTC + 3 часа


Кто сейчас на конференции

Сейчас этот форум просматривают: нет зарегистрированных пользователей и гости: 1


Вы не можете начинать темы
Вы не можете отвечать на сообщения
Вы не можете редактировать свои сообщения
Вы не можете удалять свои сообщения
Вы не можете добавлять вложения

Найти:
cron
Вся информация, размещаемая участниками на конференции (тексты сообщений, вложения и пр.) © 2008-2025, участники конференции «DRAKON.SU», если специально не оговорено иное.
Администрация не несет ответственности за мнения, стиль и достоверность высказываний участников, равно как и за безопасность материалов, предоставляемых участниками во вложениях.
Powered by phpBB® Forum Software © phpBB Group
Русская поддержка phpBB